Is Glutamic Acid The Same As Glutamine . glutamic acid and glutamine are both amino acids, but they have different functions and sources. glutamine is an amino acid. glutamic acid (symbol glu or e; glutamine and glutamate are both amino acids derived from proteins, but they have different functions and sources. glutamic acid and glutamine are both nonessential amino acids that the body can produce, but they have different functions and sources. Learn how they differ, how they relate to glutathione and msg, and what health benefits they may have. Glutamic acid is a neurotransmitter and a. It is “food” for the enterocytes (cells that line your small intestine), helping to heal intestinal inflammation.
from www.preprints.org
Glutamic acid is a neurotransmitter and a. It is “food” for the enterocytes (cells that line your small intestine), helping to heal intestinal inflammation. Learn how they differ, how they relate to glutathione and msg, and what health benefits they may have. glutamic acid (symbol glu or e; glutamic acid and glutamine are both amino acids, but they have different functions and sources. glutamine and glutamate are both amino acids derived from proteins, but they have different functions and sources. glutamine is an amino acid. glutamic acid and glutamine are both nonessential amino acids that the body can produce, but they have different functions and sources.
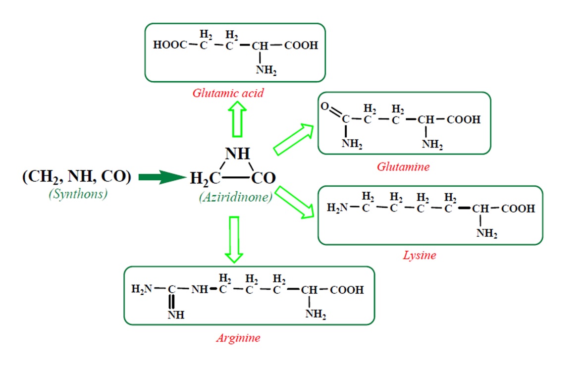
Synthon Chemistry. Theoretical Study on the Formation of Glutamic Acid
Is Glutamic Acid The Same As Glutamine glutamic acid (symbol glu or e; Learn how they differ, how they relate to glutathione and msg, and what health benefits they may have. glutamine is an amino acid. Glutamic acid is a neurotransmitter and a. glutamic acid and glutamine are both nonessential amino acids that the body can produce, but they have different functions and sources. It is “food” for the enterocytes (cells that line your small intestine), helping to heal intestinal inflammation. glutamic acid (symbol glu or e; glutamic acid and glutamine are both amino acids, but they have different functions and sources. glutamine and glutamate are both amino acids derived from proteins, but they have different functions and sources.
From www.researchgate.net
Free glutamic acid content in foods Download Scientific Diagram Is Glutamic Acid The Same As Glutamine It is “food” for the enterocytes (cells that line your small intestine), helping to heal intestinal inflammation. Glutamic acid is a neurotransmitter and a. glutamic acid and glutamine are both nonessential amino acids that the body can produce, but they have different functions and sources. glutamic acid and glutamine are both amino acids, but they have different functions. Is Glutamic Acid The Same As Glutamine.
From www.researchgate.net
Reaction enthalpies (ΔHr). Formation of glutamic acid, glutamine Is Glutamic Acid The Same As Glutamine glutamine and glutamate are both amino acids derived from proteins, but they have different functions and sources. glutamic acid and glutamine are both nonessential amino acids that the body can produce, but they have different functions and sources. It is “food” for the enterocytes (cells that line your small intestine), helping to heal intestinal inflammation. glutamic acid. Is Glutamic Acid The Same As Glutamine.
From www.shutterstock.com
Aspartic Acid Asparagine Glutamic Acid Glutamine Stock Vector 187538171 Is Glutamic Acid The Same As Glutamine It is “food” for the enterocytes (cells that line your small intestine), helping to heal intestinal inflammation. glutamine is an amino acid. glutamic acid (symbol glu or e; glutamine and glutamate are both amino acids derived from proteins, but they have different functions and sources. glutamic acid and glutamine are both amino acids, but they have. Is Glutamic Acid The Same As Glutamine.
From allingredientsplus.com
Glutamic Acid All Ingredients Plus Is Glutamic Acid The Same As Glutamine It is “food” for the enterocytes (cells that line your small intestine), helping to heal intestinal inflammation. glutamic acid (symbol glu or e; glutamic acid and glutamine are both amino acids, but they have different functions and sources. glutamine and glutamate are both amino acids derived from proteins, but they have different functions and sources. glutamic. Is Glutamic Acid The Same As Glutamine.
From www.dreamstime.com
Vector 20 Amino Acids Alanine Arginine Asparagine Aspartic Acid Is Glutamic Acid The Same As Glutamine Glutamic acid is a neurotransmitter and a. Learn how they differ, how they relate to glutathione and msg, and what health benefits they may have. glutamic acid (symbol glu or e; glutamine is an amino acid. glutamine and glutamate are both amino acids derived from proteins, but they have different functions and sources. glutamic acid and. Is Glutamic Acid The Same As Glutamine.
From www.chegg.com
Solved The amino acids glutamine and glutamic acid are shown Is Glutamic Acid The Same As Glutamine Learn how they differ, how they relate to glutathione and msg, and what health benefits they may have. glutamine and glutamate are both amino acids derived from proteins, but they have different functions and sources. Glutamic acid is a neurotransmitter and a. glutamic acid (symbol glu or e; glutamic acid and glutamine are both amino acids, but. Is Glutamic Acid The Same As Glutamine.
From www.dreamstime.com
Glutamic Acid is an Amino Acid. Chemical Molecular Formula Glutamic Is Glutamic Acid The Same As Glutamine glutamic acid and glutamine are both nonessential amino acids that the body can produce, but they have different functions and sources. Learn how they differ, how they relate to glutathione and msg, and what health benefits they may have. It is “food” for the enterocytes (cells that line your small intestine), helping to heal intestinal inflammation. glutamine is. Is Glutamic Acid The Same As Glutamine.
From www.researchgate.net
Structural diagrams of glutamic acid and glutamine molecules (í µí± Is Glutamic Acid The Same As Glutamine It is “food” for the enterocytes (cells that line your small intestine), helping to heal intestinal inflammation. glutamic acid (symbol glu or e; Glutamic acid is a neurotransmitter and a. glutamic acid and glutamine are both amino acids, but they have different functions and sources. Learn how they differ, how they relate to glutathione and msg, and what. Is Glutamic Acid The Same As Glutamine.
From www.jpharmsci.org
Cyclization of NTerminal Glutamic Acid to pyroGlutamic Acid Impacts Is Glutamic Acid The Same As Glutamine glutamine is an amino acid. Glutamic acid is a neurotransmitter and a. glutamic acid and glutamine are both amino acids, but they have different functions and sources. glutamic acid and glutamine are both nonessential amino acids that the body can produce, but they have different functions and sources. Learn how they differ, how they relate to glutathione. Is Glutamic Acid The Same As Glutamine.
From slidesharetrick.blogspot.com
Glutamine Vs Glutamic Acid slidesharetrick Is Glutamic Acid The Same As Glutamine Glutamic acid is a neurotransmitter and a. It is “food” for the enterocytes (cells that line your small intestine), helping to heal intestinal inflammation. glutamic acid and glutamine are both nonessential amino acids that the body can produce, but they have different functions and sources. glutamic acid (symbol glu or e; glutamine is an amino acid. . Is Glutamic Acid The Same As Glutamine.
From www.researchgate.net
17 Acids R aspartic acid and glutamic acid with their non charged Is Glutamic Acid The Same As Glutamine glutamic acid and glutamine are both nonessential amino acids that the body can produce, but they have different functions and sources. glutamine and glutamate are both amino acids derived from proteins, but they have different functions and sources. glutamic acid (symbol glu or e; Learn how they differ, how they relate to glutathione and msg, and what. Is Glutamic Acid The Same As Glutamine.
From www.preprints.org
Synthon Chemistry. Theoretical Study on the Formation of Glutamic Acid Is Glutamic Acid The Same As Glutamine glutamic acid and glutamine are both amino acids, but they have different functions and sources. glutamic acid and glutamine are both nonessential amino acids that the body can produce, but they have different functions and sources. glutamic acid (symbol glu or e; glutamine is an amino acid. It is “food” for the enterocytes (cells that line. Is Glutamic Acid The Same As Glutamine.
From www.youtube.com
Metabolism of Acidic Amino Acids Metabolism of Aspartic Acid and Is Glutamic Acid The Same As Glutamine glutamine is an amino acid. glutamic acid and glutamine are both nonessential amino acids that the body can produce, but they have different functions and sources. glutamic acid and glutamine are both amino acids, but they have different functions and sources. glutamine and glutamate are both amino acids derived from proteins, but they have different functions. Is Glutamic Acid The Same As Glutamine.
From ar.inspiredpencil.com
Glutamic Acid To Glutamine Is Glutamic Acid The Same As Glutamine glutamine and glutamate are both amino acids derived from proteins, but they have different functions and sources. glutamic acid and glutamine are both amino acids, but they have different functions and sources. It is “food” for the enterocytes (cells that line your small intestine), helping to heal intestinal inflammation. glutamine is an amino acid. glutamic acid. Is Glutamic Acid The Same As Glutamine.
From ar.inspiredpencil.com
Glutamic Acid Structure Is Glutamic Acid The Same As Glutamine It is “food” for the enterocytes (cells that line your small intestine), helping to heal intestinal inflammation. glutamic acid and glutamine are both amino acids, but they have different functions and sources. glutamic acid (symbol glu or e; glutamine and glutamate are both amino acids derived from proteins, but they have different functions and sources. glutamic. Is Glutamic Acid The Same As Glutamine.
From swolverine.com
Glutamine Vs Glutamate What’s The Difference? Is Glutamic Acid The Same As Glutamine It is “food” for the enterocytes (cells that line your small intestine), helping to heal intestinal inflammation. Learn how they differ, how they relate to glutathione and msg, and what health benefits they may have. glutamic acid and glutamine are both nonessential amino acids that the body can produce, but they have different functions and sources. glutamic acid. Is Glutamic Acid The Same As Glutamine.
From www.pngwing.com
Glutamic acid Essential amino acid Glutamine Glutamate, others, angle Is Glutamic Acid The Same As Glutamine Learn how they differ, how they relate to glutathione and msg, and what health benefits they may have. glutamic acid (symbol glu or e; glutamine and glutamate are both amino acids derived from proteins, but they have different functions and sources. glutamic acid and glutamine are both amino acids, but they have different functions and sources. . Is Glutamic Acid The Same As Glutamine.
From community.bulksupplements.com
LGlutamic Acid Benefits, Dosage & Side Effects Is Glutamic Acid The Same As Glutamine It is “food” for the enterocytes (cells that line your small intestine), helping to heal intestinal inflammation. glutamic acid (symbol glu or e; Learn how they differ, how they relate to glutathione and msg, and what health benefits they may have. glutamic acid and glutamine are both nonessential amino acids that the body can produce, but they have. Is Glutamic Acid The Same As Glutamine.